0435-2468558
|
kvsimtiti@gmail.com
Home
About Us
About Institute
Trustee's Message
Vision & Mission Statements
Infrastructure, Building & Workshop
Electric Power Supply
Photo Gallery
Faculty
Technical Staff
Administrative Staff
Admission
Courses Offered
Refrigeration & Air Conditioning
Mechanic Motor Vehicle
Electrician
Fitter
Mechanic Diesel
Welder
Online Application
Vocational Programme
Trade Affiliation Details
Fees Structure
Trainees
Records of Trainees
Progress Report
Facilities
Library
Computer Lab
Drawing Hall
Sports / Recreation
Extra Curricular Activities
Innovation Project Centre
Hostel
Placements
Direct Recruitment
Campus Interview
Apprentice Training
Short Term Industrial Training
Upcoming Campus Placements
Events
Convocation Day
Annual Day
2025
2023
2022
Contact Us
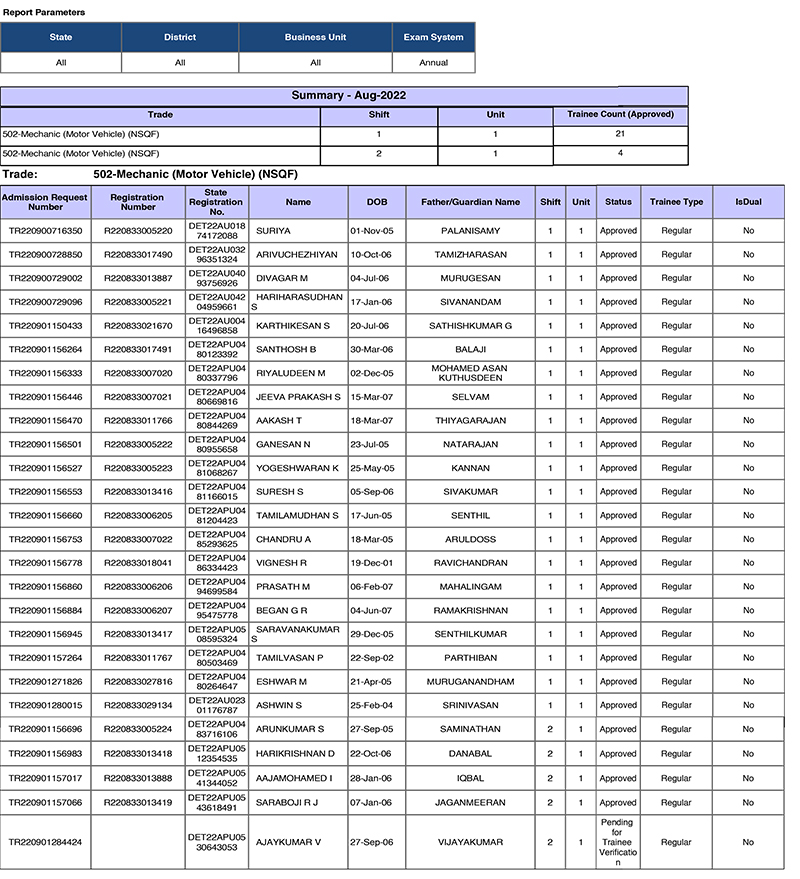
Records of Trainees
Home
Records of Trainees
Records of Trainees
To be strictly followed as given in the “trainee’s Diary” issued at the time of admission
Refrigeration & Air Conditioning
Mechanic Motor Vehicle
Electrician
Fitter
Mechanic Diesel
Welder